绿色供应链管理企业如何评价 企业绿色供应链管理评价方法
发布日期:2024-05-20 21:01:36 浏览次数: 来源:专才小编
很多朋友问专才网,关于“ 绿色供应链管理企业如何评价 ”,专才网详细为你解答:
办业务最好还是找第三方机构进行业务办理,因为他们精通各项业务的办理流程,可以在规定的时间内处理好你的业务问题,想要申请专利、商标、补贴项目、资质等,可以咨询专才顾问进行资询评估与合作。
绿色供应链管理范围:按照产品生命周期要求,对设计、采购、生产、物流、回收等业务流程进行管理,其中涉及供应商、制造企业、物流商、销售商、最终用户以及回收、拆解等企业的协作。
申报要求
1.是依法设立并具有独立法人资格或者视同法人的独立核算单位;
2.具有较强的行业影响力;
3.具有较完善的能源资源、环境管理体系,各项管理制度健全,符合国家和地方的法律法规及标准规范要求,近三年无重大安全和环境污染事故;
4.拥有数量众多的供应商,在供应商中有很强的影响力,与上下游供应商建立良好的合作关系;
5.有完善的供应商管理体系,建立健全的供应商认证、选择、审核、绩效管理和退出机制;
6.有健全的财务管理制度,销售盈利能力处于行业领先水平;
7.对实施绿色供应链管理有明确的工作目标、思路、计划和措施。

企业绿色供应链管理评价方法
(一)评价方式
1.企业绿色供应链管理评价由第三方机构组织实施。
2.第三方机构根据绿色供应链管理关键环节,按照评价标准对企业进行实地调查,查阅相关文件、报表、数据等,确保评价结果客观准确。
(二)评价指标体系
绿色供应链管理评价指标体系包括绿色供应链管理战略指标、绿色供应商管理指标、绿色生产指标、绿色回收指标、绿色信息平台建设指标、绿色信息披露指标6个方面。具体如附表所示。
附表3.1 企业绿色供应链管理评价指标体系
一级指标 | 序号 | 二级指标 | 单位 | 最高分值 | 指标类型 |
绿色供应链管理 战略X1 | 1 | 纳入公司发展规划X11 | - | 8 | 定性 |
2 | 制定绿色供应链管理目标X12 | - | 6 | 定性 | |
3 | 设置专门管理机构X13 | - | 6 | 定性 | |
实施绿色供应商 管理X2 | 4 | 绿色采购标准制度完善X21 | - | 4 | 定性 |
5 | 供应商认证体系完善X22 | - | 3 | 定性 | |
6 | 对供应商定期审核X23 | - | 3 | 定性 | |
7 | 供应商绩效评估制度健全X24 | - | 3 | 定性 | |
8 | 定期对供应商进行培训X25 | - | 3 | 定性 | |
9 | 低风险供应商占比X26 | % | 4 | 定量 | |
绿色生产X3 | 10 | 节能减排环保合规X31 | 10 | 定性 | |
11 | 符合有害物质限制使用管理办法X32 | - | 10 | 定性 | |
绿色回收X4 | 12 | 产品回收率X41 | % | 5 | 定量 |
13 | 包装回收率X42 | % | 5 | 定量 | |
14 | 回收体系完善(含自建、与第三方联合回收)X43 | - | 5 | 定性 | |
15 | 指导下游企业回收拆解X44 | - | 5 | 定性 | |
绿色信息平台建设X5 | 16 | 绿色供应链管理信息平台完善X51 | - | 10 | 定性 |
绿色信息披露X6 | 17 | 披露企业节能减排减碳信息X61 | - | 2.5 | 定性 |
18 | 披露高、中风险供应商审核率及低风险供应商占比X62 | - | 2.5 | 定性 | |
19 | 披露供应商节能减排信息X63 | - | 2.5 | 定性 | |
20 | 发布企业社会责任报告(含绿色采购信息)X64 | - | 2.5 | 定性 |
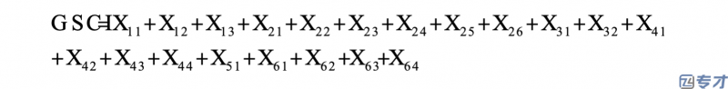
(三)绿色供应链评价指数计算方法
企业绿色供应链管理指数的计算公式如下。

式中GSCI为绿色供应链管理指数。
(四)部分指标说明
1.纳入公司发展规划:有明确的绿色供应链管理中长期发展规划、年度目标、指标、实施方案等文件。
2.供应商绩效评估制度:建立供应商绩效评估标准,对供应商进行分级评价和管理。
3.低风险供应商占比的基准值取80%。达到或超过80%得4分,其他分值的计算:比例值/80%*4。
4.节能减排环保合规:符合国家和地方有关环境法律和法规,近五年无重大安全、环保、质量事故;配备能源、水源监测设备及污染物监测设备(计量仪器符合GB 17167和GB 24789)。
5.产品回收率X41的基准值为90%,达到或超过90%得5分,其他分值的计算:比例值/90%*5。
6.包装回收率X42的基准值为80%,达到或超过80%得5分,其他分值的计算:比例值/80%*5。
7.指导下游企业回收拆解:具备回收拆解信息管理系统,实现拆解信息的传递及产品的追溯。
8.绿色供应链管理信息平台完善:对企业及其供应商产品材质、工艺流程、能源资源消耗、污染物排放等信息进行有效收集与管理。
9.披露企业节能减排减碳信息:具体包括有毒有害物质使用、能源资源利用效率、污染物排放、碳排放减少量、产品回收利用率等信息。
以上就是专才网给大家整理的关于绿色供应链管理企业如何评价的相关内容,
专才集团,专注定位“科技企业服务”,2014年成立,为科技中小企业量身打造一站式孵化平台,如知识产权、项目申报、技术转移、科技成果评价、工商注册财税规划、专利商标版权代理、软件著作权代理(不过包退)可行性研究报告等一站式服务,可以咨询专才顾问进行资询评估与合作。
绿色供应链申请联系:13570107737(微信同号)
专才咨询热线:400-9692-949
全国企业院校 专业政策咨询 企业补贴申报 项目申报代理服务等
联系专才:13570107737(微信同号)
2023年国家高新技术企业复审指南 高企复审不通过会怎么样
首先要更新一下大家对复审的认知,高新技术企业认定中现在并无复审概念,三年期满后需要重新认定,因此所谓的复审,就是相当于重新做一次新的认定,其手续和要求也都与新的高企认定相一致。2023年国家高新技术企业复审指南 高企复审不通过会怎么样切不要...(1528 )人阅读时间:2023-03-30
公司刚成立2年能报专精特新吗、申报专精特新对财务有什么要求
专精特新中小企业认定由创新型中小企业按属地原则自愿提出申请,省级中小企业主管部门根据审核标准,对申请材料进行审核、实地抽查和公示。公示无异议的,由省级中小企业主管部门认定为专精特新中小企业。公司刚成立2年能报专精特新吗、申报专精特新对财务有...(552 )人阅读时间:2023-02-24
守合同重信用怎么查询?守合同重信用企业怎么申请
守合同重信用怎么查询?守合同重信用企业查询方法,可以在当地的工商行政管理局官网上找到相应的专区以及入口即可。步骤:1、找到守合同重信用公示页面,输入公司全称,一定要输入全称才可以查询,有一个错别字都会查询失败;2、正确输入公司全称后,就会出...(418 )人阅读时间:2022-05-22
盐城高新技术企业优惠政策 高新技术企业公告时间
盐城高新技术企业优惠政策盐城高新技术企业认定奖励:【盐城市】对进入市高企培育库并首次达标申报的企业每家最高给予8万元“高企服务券”补助。对获批认定出库的高企每家最高奖励10万元。当年首次认定的高新技术企业每家最高奖励35万元,重新认定的高新...(458 )人阅读时间:2022-12-21
惠州仲恺区高新技术企业申报网站 高新技术企业认定申报时间
惠州仲恺区高新技术企业申报网站高新技术企业申报程序企业自我评价如果想要申报高新技术企业,可以先根据《高新技术企业认定管理办法》第十条的内容,对企业情况进行自我评价,如果认为符合条件,就可以进行申报工作。注册登记首先企业在“高新技术企业认定管...(382 )人阅读时间:2022-10-21
深圳市光明区创新创业活动备案申报条件、申报材料、时间
为切实助力光明区创新载体建设,优化光明区创新创业生态环境,推动区内重点产业发展,现决定开展2022年度创新创业活动备案工作。请符合要求的单位积极申报,备案申报的具体要求如下:申报对象在境内外举办合成生物相关主题活动的组织方或承办方。申报条件...(332 )人阅读时间:2022-07-06
深圳营业额下降有政府补贴吗 深圳市营业额超100亿补贴
深圳营业额下降有政府补贴吗认定为受影响企业和受影响职工后,企业可以享受有关扶持政策和服务,主要有:1. 企业生产经营活动同时符合我市产业结构调整和环保政策、依法参加失业保险并足额缴纳失业保险费一年以上、 上年度未裁员或裁员率低于上年末我市城...(305 )人阅读时间:2022-05-13
珠海单项冠军奖金有多少?制造业单项冠军申报标准
珠海单项冠军奖金有多少?提升企业专业化能力。对首次认定的国家制造业单项冠军企业(产品)、国家级专精特新“小巨人”企业,在认定的有效期内,分别给予最高200万元、100万元的一次性奖励;对2022年新认定的省级、市级专精特新中小企业,分别给予...(548 )人阅读时间:2022-07-05
